Python: Heaps
参考:
1. Heaps
1.1 Definition
heap 从结构上来说是一个 complete binary tree,数据上它要满足 heap ordering property,分两种:
- min-heap: $\forall$ node
v,v.data >= v.parent.dataroot.data是最小值
- max-heap: $\forall$ node
v,v.data <= v.parent.dataroot.data是最大值
- 注意我们并没有规定 sibling 之间的大小关系
下图左边是 min-heap,右图是 max-heap:

1.2 Array Implementation of Heaps / Index 换算
complete binary tree 有一个特点:它可以 uniquely 被它的 level-order traversal 表示。换言之,我们可以用一个 list N 来表示一个 complete binary tree,N 中的节点满足下列关系:
N[i].left is N[2 * i + 1] # 定位 left child (when i < len(N) // 2)
N[i].right is N[2 * i + 2] # 定位 right child (when i < len(N) // 2)
N[i].parent is N[(i-1) // 2] # 定位 parent (when i >= 1)
N[: len(N) // 2] # 全部都是 non-leaves
N[len(N) // 2 :] # 全部都是 leaves
那由于 heap 本质是一个 complete binary tree,所以 heap 也可以用一个 array 表示,比如上图的 min-heap 可以表示为:
[6, 7, 12, 10, 15, 17]
在具体实现的时候,为了方便计算下标,有的 lib 的 heap 是不用 N[0] 的,直接从 N[1] 开始,此时有:
N[i].left is N[2 * i] # 定位 left child (when i <= len(N) // 2)
N[i].right is N[2 * i + 1] # 定位 right child (when i <= len(N) // 2)
N[i].parent is N[i // 2] # 定位 parent (when i >= 2)
N[1: len(N) // 2 + 1] # 全部都是 non-leaves
N[len(N) // 2 + 1 :] # 全部都是 leaves
1.3 Internal Heap Operations
heap 有两个核心的内部操作:
sift_down(也有地方叫做percolate_down)sift_up(也有地方叫做percolate_up)
从翻译的角度来讲:
sift指类似 “用筛子筛面粉” 的 “筛” 这个动作percolate指类似 brewing coffee 那样的 “液体的渗漏、渗出” (或者类似塞尔达的下载地图?)
那以下都以 min-heap 为例。简单来说:
sift_down(i)是把一个大元素 (当前位于N[i]) 逐渐移动到 heap 低层的操作 (往 leaves 方向下行)sift_up(i)是把一个小元素 (当前位于N[i]) 逐渐移动到 heap 高层的操作 (往 root 方向上行) (bubble up 的感觉?)
1.3.1 Insert A New Node & sift_up
insert 一个新元素到 min-heap 可以这么做:
- 先不管三七二十一直接把新元素 append 到 heap array 尾部
- 根据新元素的 index 找它的 parent 的 index,比较大小。如果新元素小于它的 parent,swap
- 依此类推,一路往上 swap

这个 “把元素往上层 swap” 的操作即是 sift_up,它的 time complexity:
- worst-case: $O(\log n)$
- worst-case 就是每一层都 swap 了一次,一直 swap 到 root
1.3.2 Delete The Root & sift_down
还是用 min-heap 举例。delete 掉 root 也就是 delete 掉 minimun,可以这么做:
- 不管三七二十一直接用 heap array 的最后一个 node 来 overwrite root (然后把这最后一个 node 从 heap array 尾部删除)
- 类似 insert 的逻辑,只是此时你要找这个新 root 的 children 做比较。稍微与
sift_up不同的是,此时你要比较三个元素,你的目的是把min(root, root.left, root.right)swap 到 root 的位置 - 依此类推,一路往下 swap
这个 “把元素往下层 swap” 的操作我们称为 sift_down,它的 time complexity:
- worst-case: $O(\log n)$
- 注意 worst-case 到不了 $O(n)$,因为你每一层都至多比较两次,不会和所有的 node 都比较一次
1.3.3 Build A Heap From A List (heapify)
其实从下列两个方向构建都是可行的,但是在 performance 上有区别。
1.3.3.1 Top-down with sift_up
大致等价于下面的代码:
def heapify(lst):
heap = lst
for i in range(len(heap)):
heap.sift_up(i)
return heap
要注意这么几点:
sift_up并不是和 “insert 新节点” 操作绑定的,你不做 insert 操作也可以调用sift_up- 或者你这么理解:这个用
sift_up的heapify的操作就相当于是lst的元素一个接一个地 insert 到一个初始为空的 heap 中
- 或者你这么理解:这个用
- 我们做
sift_up的时候是要假设 “旧的 heap 是合法的”。在我们这个循环sift_up的过程中,sift_up(i)时我们只 carei之前的元素,which 在sift_up(i-1)时已近是在一个合法的 heap 结构里了,所以这个假设一直是满足的- 换言之,我们在
sift_up(i)时,i之后的元素是不是满足 heap 结构我们不 care
- 换言之,我们在
1.3.3.2 Bottom-up with sift_down
从低层构造的话,有这么几个 insights:
- leaf 节点不需要做
sift_down - 必须要等到低层节点的
sift_down做完了,高层节点才能做sift_down- 因为
sift_down要 assume 底下的 subtree 是满足 heap ordering property,所以低层的 percolate down 要先做
- 因为
所以这个过程大致等价于下面的代码 (假定使用 N[0]):
def heapify(lst):
heap = lst
non_leaf_indices = range(0, len(heap) // 2)
for i in reversed(non_leaf_indices):
heap.sift_down(i)
return heap
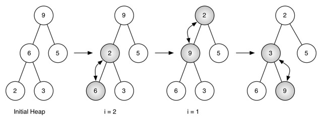
举例:比如这个 [9, 6, 5, 2, 3],做了两次 sift_down,注意第二次 i=1 时 (不使用 N[0] 所以 N[1] 是 root) 时,是 swap 了两次:

1.3.3.3 Performance Analysis
How can building a heap be O(n) time complexity? 答案里有很精彩的分析。
以下我们考虑 worst case,假设每次 comparison 都执行了 swap.
Top-down with sift_up:
- root,1 个元素,每个 swap 0 次
- 第二层,2 个元素,每个 swap 1 次
- 第三层,4 个元素,每个 swap 2 次
- …
- 第
h层,$\frac{n}{2}$ 个元素 (leaves),每个 swap $h-1$ 次
总共要 swap 这么多次:
\[\frac{n}{2} \times (h-1) + \frac{n}{4} \times (h-2) + \dots + 2 \times 1 + 1 \times 0\]然后有 $h = \log n$. 考虑到最后一层已经是 $O(n \log n)$ 了,所以 Top-down with sift_up 的 worst-case time complexity 是 $O(n \log n)$.
Bottom-up with sift_down:
- 第
h层,$\frac{n}{2}$ 个元素 (leaves),每个 swap 0 次 - 第
h-1层,$\frac{n}{4}$ 个元素,每个 swap $1$ 次 - …
- 第三层,4 个元素,每个 swap $h-3$ 次
- 第二层,2 个元素,每个 swap $h-2$ 次
- root,1 个元素,每个 swap $h-1$ 次
总共要 swap 这么多次:
\[\frac{n}{2} \times 0 + \frac{n}{4} \times 1 + \dots + 2 \times (h-2) + 1 \times (h-1)\]这个和式按 Taylor series 展开可以得到极限 $n$,所以 Bottom-up with sift_down 的 worst-case time complexity 是 $O(n)$.
1.4 Vanilla Heap Implementation
下面我们来手动写一个不使用 N[0] 的 min-heap.
- 额外加了一个
current_size字段,避免总是去取len(N)
class MinHeap:
def __init__(self):
self.heap_list = [None] # slot [0] 不使用,直接赋值为 None
self.current_size = 0
def sift_up(self, index):
while index // 2:
parent_index = index // 2
if self.heap_list[parent_index] > self.heap_list[index]:
self.heap_list[parent_index], self.heap_list[index] = self.heap_list[index], self.heap_list[parent_index]
index = parent_index
else:
break
def _get_min_child_index(self, index):
left_child_index = index * 2
right_child_index = index * 2 + 1
if left_child_index > self.current_size: # 说明 index 是个 leaf,它不应该做 sift_down
raise ValueError("index points to a leaf node; cannot percolate down")
elif right_child_index > self.current_size: # 说明 index 只有 left child,没有 right child
return left_child_index
else: # 儿女双全,需要比较一下
return left_child_index if self.heap_list[left_child_index] <= self.heap_list[right_child_index] else right_child_index
def sift_down(self, index):
while index * 2 <= self.current_size: # 当 index 还没哟有到 leaf 层时
mc_index = self._get_min_child_index(index)
if self.heap_list[mc_index] < self.heap_list[index]:
self.heap_list[mc_index], self.heap_list[index] = self.heap_list[index], self.heap_list[mc_index]
index = mc_index
else:
break
def insert(self, element):
self.heap_list.append(element)
self.current_size += 1
last_index = self.current_size
self.sift_up(last_index)
def pop_minimum(self):
root = self.heap_list[1] # retrieve the root value; need to return this in the end
self.heap_list[1] = self.heap_list[self.current_size] # 把队尾放到 root 的位置
self.heap_list.pop() # 删除掉原来的队尾
self.current_size -= 1
self.sift_down(1)
return root
def get_minimum(self):
return self.heap_list[1]
def heapify(self, elements):
self.heap_list = [None] + elements
self.current_size = len(elements)
non_leaf_indices = reversed(range(1, self.current_size // 2 + 1))
for index in non_leaf_indices:
self.sift_down(index)
def __str__(self):
return str(self.heap_list[1:])
def __len__(self):
return self.current_size
heap = MinHeap()
heap.heapify([6, 7, 10, 12, 15, 17])
"""
6
/ \
7 10
/ \ /
12 15 17
"""
print(heap)
# Output: [6, 7, 10, 12, 15, 17]
heap.insert(5)
"""
5
/ \
7 6
/ \ / \
12 15 17 10
"""
print(heap)
# Output: [5, 7, 6, 12, 15, 17, 10]
print(heap.pop_minimum())
# Output: 5
"""
6
/ \
7 10
/ \ /
12 15 17
"""
print(heap)
# Output: [6, 7, 10, 12, 15, 17]
另外在帖子 Implementing heap in Python 提到了:可以使用 generic 的 less-than operator 来比较 element 的大小,进而实现 object 的 heap (类似于 java 的 Comparator 接口的思想)。
import operator
def __init__(self, heap=None, comparator=operator.lt):
self.heap_list = [None] # slot [0] 不使用,直接赋值为 None
self.current_size = 0
self.comparator = comparator
这个帖子里的 heapify 函数其实是我们 sift 的意思,不用深究。我们的叫法是对的。
2. Heap Sort
之前说 heap sort 都觉得特别高大上,其实现在看来很简单:
- 上来
heapify=> $O(n)$ - 持续 pop 掉 root,做 $n$ 次 => $O(n \log n)$
- 最后总的 time complexity 还是 $O(n \log n)$
因为每次 pop 出来的都是当前的 minimum,所以排列出来就是个 ascending 的顺序。
def heap_sort(elements):
heap = MinHeap()
heap.heapify(elements)
def generate_minimums(heap):
while heap:
yield heap.pop_minimum()
return list(generate_minimums(heap))
heap_sort([1, 3, 4, 6, 2, 5])
# Output: [1, 2, 3, 4, 5, 6]
这个 time complexity 其实可以深究一下,因为在你不断 pop 的过程中,tree 在 shrinking,层数会逐渐降低,似乎不是简单的每个节点都是 $O(\log n)$。但仔细分析下有:
- 第
h层,$\frac{n}{2}$ 个元素 (leaves),每个都要做 $O(h-1)$ 的sift_down - 第
h-1层,$\frac{n}{4}$ 个元素,每个都要做 $O(h-2)$ 的sift_down - …
- 第三层,4 个元素,每个都要做 $O(2)$ 的
sift_down - 第二层,2 个元素,每个都要做 $O(1)$ 的
sift_down - root,1 个元素,不用做
sift_down
所以它的情况和 Top-down heapify with sift_up 的情况很像:
最终还是 $O(n \log n)$.
3. Python heapq Module
3.1 Basic Operations
注意:
- python 是 implicitly 提供了 heap 的数据结构,我这么说是因为
heapq完全是个 util module,所以一般你是heapq.xxx(heap)而不是heap.xxx() heapq隐藏了sift_down和sift_up(但还是能强行 import 出来)
基本操作有:
from heapq import heapify, heappop, heappush, heapreplace, heappushpop
h = [3, 2, 1]
heapify(h) # 注意这是个 in-place 操作,将 list 直接转成 heap
root = heappop(h) # 相当于上面的 self.pop_minimum()
heappush(h, e) # in-place 操作,相当于上面的 self.insert(e)
# 容易混淆的两个操作,这个 heapreplace 的命名我没有看懂
root = heapreplace(h, e) # 先 root = heappop(h),然后 heappush(h, e)
root = heappushpop(h, e) # 先 heappush(h, e),然后 root = heappop(h)
3.2 nlargest / nsmallest / $k$ 路归并
那除了对 heap 本身的操作之外,heapq 还要三个 heap sort 相关的函数:
from heapq import nlargest, nsmallest, merge
"""
这个 key 是一个 key function:
- 它可以是一个 field accessor,比如 key = lambda obj: obj.attribute
- 然后元素就按它们的这个字段的大小来排序
- 也可以有其他的用法,比如 key = abs
- 总之,它的意思就是:在比较元素大小时,使用 key(e) 的值来比较
- 如果 key is None,说明是直接比较元素本身
"""
nlargest(n, iterable, key=None) # 返回 iterable 中最大的 n 个元素,返回值的数据结构是 list
nsmallest(n, iterable, key=None) # 返回 iterable 中最小的 n 个元素,返回值的数据结构是 list
# heapq.merge 即是传说中的 k 路归并算法! (k-way merging)
# *iterables 是 k 个 iterable,而且要求它们自身是 sorted 的
# k-way merging 就是把这个 k 个 iterable 合并排序
merge(*iterables, key=None, reverse=False)
$k$ 路归并可以参考 Python: Vanilla k-way Merge Implementation & Lexical Order.
4. Priority Queue
priority queue 是一个 abstract data structure,类似 interface 的意思,只要求了功能,没有要求具体实现。
- 功能上,带 priority 的 tasks 会被丢进 priority queue,然后总是 high priority 的 task 被先执行。
- 实现上,可以用 array、linked list 和 heap
- array 的实现又分两种:
- 每次 push 的时候直接 append,等到要 pop 的时候再做 sorting (先甜后苦)
- 每次 push 的时候就直接做 sorting,pop 的时候就直接 pop (先苦后甜)
- linked list 和 array 的实现差不多
- heap 还是比 array、linked list 要快一点的
- array 的实现又分两种:
| insert | deleteMin | findMin | |
|---|---|---|---|
| ordered array | O(n) | O(1) | O(1) |
| ordered list | O(n) | O(1) | O(1) |
| unordered array | O(1) | O(n) | O(n) |
| unordered list | O(1) | O(n) | O(n) |
| binary heap | O(log n) | O(log n) | O(1) |
留下评论